Menu Our services in the selected location:
  • No services available for your region.
Select Location:
Remember my selection
Your browser is out of date.

INDUSTRIALIZING ALPHA: A LOOK AT MULTI-MANAGER HEDGE FUNDS AND MODERN ALLOCATION STRATEGIES

April 10, 2024  |  16 Minute Read


Jack Springate

Global Head of Hedge Funds External Investing Group (XIG)

Jack Springate

Collin Bell

Global Head of Capital Formation for Public Alternatives

Collin Bell

Greg Cohen

External Investing Group (XIG) Hedge Funds

Greg Cohen

Anthony Kuo

External Investing Group (XIG) Hedge Funds

Anthony Kuo


Key Takeaways


  • Following a period of strong performance, multi-manager firms have utilized their increased scale (and fees) to maintain and extend their competitive positioning, leading to what has been considered an “arms race.”

 

  • Today, multi-manager hedge funds are carefully navigating the increased set of risks and considerations that have come along with their rapid growth, as they seek to avoid becoming victims of their own success. 

 

  • We believe that investors can access the greatest amount of skill in the hedge fund industry by taking an unconstrained approach across strategies and structures – while multi-manager platforms have captured a significant amount of talent, there remains a large pool of skilled investors outside of that ecosystem who should not be ignored. 

Multi-manager hedge funds have become a dominant force in the hedge fund industry in recent years.  Also known as “multi-manager platforms”, “multi-PM funds”, and “pod shops”, multi-manager hedge funds are characterized by their strategy of allocating capital across a large number of underlying portfolio managers (PMs) who invest autonomously, rather than an investment process that relies on a single centralized decision-maker. Most often, these firms have a senior leadership group that makes capital allocation decisions and a central risk management function responsible for managing risk both for the overall fund and at the individual PM level. 

 

Multi-manager hedge funds have generated stronger risk-adjusted results with lower correlations relative to the broader hedge fund universe in recent years.  These outcomes have garnered significant investor interest, allowing multi-manager firms to grow AUM by 175% from 2017 to 2023, while the rest of the hedge fund universe grew 13% over the same timeframe.1 Multi-manager firms have utilized their increased scale (and fees) to maintain and extend their competitive positioning, leading to what has been considered an “arms race” to attract talented personnel, expand strategies, and implement cutting-edge infrastructure, technology, and data strategies.

 

 

Multi-Manager AUM Has Grown More Quickly In Recent Years 

 

Source: Goldman Sachs, GBM Prime Insights & Analytics, as of June 30, 2023.

 

 

Today, multi-manager hedge funds are carefully navigating the increased set of risks and considerations that have come along with their rapid growth, as they seek to avoid becoming victims of their own success.  In trying to accommodate their rapidly increasing AUM, multi-manager funds have faced the challenge of scaling up their investment teams within the reality of a finite supply of high-quality investment talent and a limit to how high fees can go without proving detrimental to future returns.  Multi-manager hedge funds have also sought to expand into new investment strategies, which has led to firms looking increasingly similar, providing less differentiated exposures, and competing with each other in even more ways.  These factors have resulted in frequent "poaching” of individuals from one platform to another, while the increased level of competition and converging mix of strategies being implemented can potentially degrade the alpha potential and differentiation that a platform can provide. With many multi-manager funds utilizing significant amounts of leverage and following similar styles of risk management, we see increased potential for more frequent and severe “deleveraging” events. Further, the most in-demand multi-manager firms have sought to improve their competitive positioning and titrate client demand by changing investor terms, making these firms difficult to access with high fees and restrictive liquidity rights for limited partners (LPs).

 

The rapid growth and significant changes across the multi-manager hedge fund landscape in recent years have led many in the hedge fund industry to ask, “have we reached ‘peak platform’?” While there is certainly no clear-cut answer to this question, we believe that many of the well-built and innovative multi-manager platforms will thrive, while others will be outcompeted and have difficulty achieving success.  In fact, a few large platforms have returned a portion of their capital to investors in recent years to avoid diluting their returns, signaling that some managers recognize that there are constraints on deploying incremental capital.  We also believe that investors can access the greatest amount of skill in the hedge fund industry by taking an unconstrained approach across strategies and structures – while multi-manager platforms have captured a significant amount of talent, there remains a large pool of skilled investors outside of that ecosystem who should not be ignored.  Talented hedge fund managers exist outside of the multi-manager universe due to their own choice – some people prefer to be entrepreneurial or manage strategies as they see fit – and by virtue of the strict portfolio and risk requirements to operate in a multi-manager model, which do not suit all types of strategies and asset classes. In our view, investors will be able to harness the maximum amount of skill by considering all types of hedge fund strategies. Alpha potential can be maximized through an approach that includes both multi-manager funds and other hedge fund strategies, and complements these manager investments with additional alpha generation opportunities such as co-investments and structural innovations such as separately managed accounts.

 

Basics of the Multi-Manager Business Model

Multi-manager hedge funds follow a strategy that is based upon capital being allocated to multiple portfolio managers (“PMs” or “pods”).  PMs manage this capital independently from each other and are generally compensated based on their own performance rather than the aggregate results of all PMs. Large multi-manager firms can have 100 or more PMs, while smaller firms can be more concentrated, though it would be abnormal to see an exceedingly low number of PMs given that there are significant benefits achieved through PM diversification.  Most often, PMs at these firms have granular specializations, such trading a specific equity market sector, arbitraging M&A deals, or trading interest rates in a specific manner.  PMs usually implement strategies focused on generating consistent alpha with limited beta and a low correlation to broader markets.  Multi-manager platforms also generally apply strict portfolio construction and risk management frameworks, which are designed to ensure that PMs are managing portfolios consistent with their expertise and also serve to limit the negative impact that any individual PM can have on the overall portfolio. Multi-manager funds typically utilize varying degrees of leverage to amplify the alpha generated by the individual PMs. 

 

Multi-Manager Evolution and Hedge Fund Industry Impacts

During the post-GFC recovery, which saw a resurgence in the broader hedge fund industry, multi-manager hedge funds initially grew at a slower rate than the rest of the industry.  This was due in part to certain directional strategies being able to generate exceptional performance as markets rebounded from the severe 2008-2009 drawdown. Additionally, many investors were hesitant to take on exposure to multi-manager funds at this fragile point in time given multi-manager funds’ limited transparency and high leverage. However, this trend began to reverse around 2017; since then, multi-manager strategies have grown more than 6 times faster than the rest of the hedge fund universe as investors became more accepting of the business model as managers delivered on the promise of consistent, uncorrelated, alpha-driven performance characteristics.  Over the last five years, multi-manager hedge funds have produced higher returns, with meaningfully lower volatility and lower equity correlation, relative to the composite universes of broad hedge funds and multi-strategy (not multi-manager) funds.2

 

 

Multi-Manager Funds Have Delivered Superior Returns with Lower Volatility and Correlation to Equities 

 

Source: Goldman Sachs, GBM Prime Insights & Analytics, as of June 30, 2023

 

 

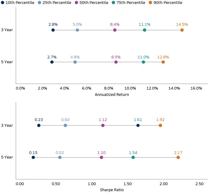
While composite returns for multi-manager funds are attractive, dispersion of both absolute returns and Sharpe ratio is meaningful – based on the most recent 5-year sample data from Goldman Sachs Prime Services, the 75th percentile multi-manager return is 11.0%, while a 25th percentile return is only 4.8%.  Over the same time, a 75th percentile Sharpe ratio was 1.54, well in excess of the 0.52 Sharpe ratio for a 25th percentile manager.  We believe that this dispersion is likely to persist as competition remains intense amongst multi-manager incumbents and as the number of new entrants remains is robust. As such, investors stand to have vastly different experiences from multi-manager investments depending upon their manager selection decisions.

 

 

Performance Dispersion Has Been Wide for Multi-Manager Funds 

 

Source: Goldman Sachs Prime Services, The Evolution of the Multi-Manager Landscape, September 2023

 

 

Competitive Dynamics Across the Multi-Manager Universe

For today’s top-performing managers, the ability to maintain strong returns is not a given and requires ongoing investment. Heightened investor demand has led many multi-manager funds to accept billions of inflows and required them to scale their businesses as rapidly as possible to deploy this capital – necessitating an influx of PMs and some firms building out entirely new strategies to diversify their businesses.  A critical feature of the multi-manager business model that has enabled this expansion is the “pass-through” fee structure, which permits managers to charge investors with expenses required to run and manage the fund (in addition to a set management fee).  In addition to the performance-based incentive fee also charged, the pass-through fee structure has become nearly universal for multi-manager firms, with 8 of 9 new launches in the last 5 years having either full or partial pass-through expense structures.

 

Pass-through fees have enabled firms to tackle their need to recruit by offering escalating compensation packages.  Multi-manager firms more than tripled their collective headcount from approximately 5,300 individuals in 2015 to over 18,000 in 2023, while the headcount in the rest of the hedge fund industry only expanded by about 10% (from 44,000 to 48,400).3 In addition to enabling rapid headcount growth, pass-through fees have also enabled multi-manager firms to build out new strategies and the required infrastructure, technology, and data to do so. During this growth phase, the multi-manager universe saw a significant shift in the ratio of investment to non-investment professionals – 60% of employees were investment professionals in 2015, versus 46% in 2023 – signaling the significant operational complexity that exists for large and growing multi-manager hedge funds.

 

Despite multi-manager firms growing their assets, which helps investors absorb costs across a larger base, in many cases firms’ operational costs increased even more rapidly than their AUM growth, causing expenses charged to investors to rise substantially.  In 2023, the estimated cost of the pass-through expense (including management fees) for managers with this structure was approximately 5%, before an incentive fee charge.4  Managers with full and partial pass-throughs substantially outperformed managers without a pass-through structure on a gross basis in 2023, indicating that the high levels of spending may have enabled firms with pass-throughs to generate outperformance. However, after accounting for the full fee load, the gap narrowed substantially but pass-through managers still outperformed slightly on a net basis.  Some investors view relatively high fees and spending as a necessity for managers to maintain competitive positioning, while others have strong aversions to bearing such high costs.  As a result of higher fee loads, investors have been receiving a lower share of the returns generated by multi-manager funds, capturing  54% of returns generated in 2021 versus 41% in 2023.5  While some of these figures are shorter-term in nature, it is critical for investors to ensure that managers with expense pass-throughs are utilizing this capability judiciously so that managers and their investors experience a mutually beneficial partnership.

 

 

Pass-Through Fees Lead to Higher Expenses, but Those Managers Have Outperformed 

 

Source: Barclays, “Multi-Manager Hedge Funds Review”, As of January 2024.

 

 

In addition to higher fees, many multi-manager firms have extended their liquidity terms. About 25% of the multi-manager universe now has liquidity terms that require 2+ years to fully redeem6, with some high-profile managers putting forth redemption terms that stretch out 3-5 years.  Managers have defended the practice by arguing that it provides stability to pursue multi-year initiatives that will be beneficial for long-term alpha generation, as well as to attract and retain PMs when pitching their business relative to competitors with more liquid terms.  Firms with the longest redemption terms have outperformed over the last 5 years;7 however, it is important to consider that strong performance has also likely allowed these firms to command less-liquid terms – in other words, there is likely a two-way relationship between strong performance and the ability for a manager to raise less-liquid capital from investors.

 

 

Less-Liquid Multi-Managers Have Outperformed in Recent Years

 

Source: Barclays, “Multi-Manager Hedge Funds Review”, As of January 2024.

 

 

Comparisons to Other Hedge Fund Models – Multi-PM Platform HFs First Blurred the Lines Between "Direct vs Fund of Fund”, and Now “Proprietary vs External”

The shifting balance of capital toward multi-manager firms has led to several important developments in the way that these managers are operating their business, as well as having knock-on effects in the hedge fund industry more broadly. Multi-manager strategies have similarities and differences to both “traditional” hedge fund models that feature centralized decision-making as well as fund-of fund approaches, with a significant blurring of the lines across these models having occurred over many years. For example, while single-PM funds historically operated funds for the benefit of LPs, many of these funds now also manage accounts for multi-manager platforms.  And while multi-manager platforms historically employed PMs on an exclusive basis, a significant percentage now allocate capital to external managers, bringing closer to what was historically considered the realm of fund-of-funds strategies. All the while, many fund-of-funds businesses have evolved by developing sophisticated separately managed account (“SMA”) capabilities, bringing them closer to the multi-manager style of investing. 

 

 

Centralized decision-making hedge funds

The “traditional” form of a hedge fund features a centralized decision-making structure with either a single PM (often called the Chief Investment Officer, or CIO), or small group of individuals who have discretion over the positioning of the entire portfolio. Inherently this results in a single individual bearing massive responsibility within the investment process and, ultimately, for the ongoing success of the organization. Without that individual, investors often have limited confidence in the organization’s ongoing potential.  The centralized decision-making model also makes it exceedingly difficult to develop the same degree of diversification in quantum of positions and viewpoints relative to those that can be achieved by multi-manager firms and fund-of-funds. 

 

In contrast, the multi-manager model operates more like a factory designed to extract the skill of underlying PMs, with specialized functions that recruit and develop talent in large numbers then extract this skill in a consistent portfolio and risk structure.  The institutionalization required to succeed as a multi-manager strategy also means that there is generally not a singular decision maker whose involvement is critical on a day-to-day basis.  This lack of reliance on any single individual, can help multi-manager firms transition to being “skill factories” that are more durable than their centralized counterparts.  Nonetheless, certain multi-manager firms have the backing of visionary and innovative founders whose decisions are impactful for the longer-term success and health of their firms.  Fund-of-funds businesses have many parallels to multi-manager firms in this regard, taking advantage of the ability to source skill from the entire hedge fund universe and putting in place structures and processes to extract this skill consistently.

 

 

Fund of funds

As the hedge fund industry developed, the range of strategies became increasingly complex, difficult to evaluate, and hard to access for many types of investors who could otherwise benefit from having hedge fund exposure.  This led to the development of the fund of hedge funds (or “fund of funds”) industry, with fund of funds business formed by individuals with the requisite expertise and industry connections to build portfolios of underlying hedge fund managers for those lacking the necessary toolkit.  Multi-manager strategies are arguably most akin to the fund-of-funds model.  Fund-of-funds and multi-manager platforms both rely on professionals who can source and evaluate talent, a skill grounded in both quantitative analysis and qualitative judgement.  Both types of business also invest their capital by allocating across a group of independent return drivers (i.e., PMs in the case of multi-managers, and hedge funds in the case of fund-of-funds).

 

To illustrate the blurring of the lines between these two groups, it is now commonplace for multi-manager platforms to have incorporated external manager investments into their capital deployment strategies.  Approximately 40%8 of multi-manager hedge funds now have at least some capital allocated to externally managed strategies.  Some multi-manager firms are nascent in their external investing efforts, while others integrated external allocations into their approach many years ago and have billions of dollars invested in external managers via SMAs.  Similarly, many fund-of-funds businesses have moved toward a hybrid model whereby they have flexibility to access managers either through traditional fund structures or in a more direct way by negotiating with hedge funds to manage capital through an SMA.

 

As multi-manager platforms continue to compete for a finite pool of investment talent, modernized fund-of-funds businesses have been able to parlay their central position in the industry to access the skill available throughout the hedge fund universe—whether investing in the top multi-manager platforms or highly skilled boutiques—and are uniquely be able to do so across all formats (fund + SMA) and access points (including co-invests).  The modern fund-of-funds investment model has shifted into becoming a skill factory in its own right.

 

 

Source: Goldman Sachs Asset Management. For illustrative purposes only.

 

 

A modern approach to hedge fund investing

Multi-manager strategies have collectively generated impressive performance and substantially grown their market share in the hedge fund industry.  The pace of their growth and fierce competition present headwinds and return dispersion will be high, but we believe that multi-manager funds that remain prudently capitalized and have a strong level of talent that aligns with the organization’s strengths and infrastructure can continue to be very successful.  Nonetheless,  intense competition amongst platforms is likely to persist and the dispersion of outcomes will likely be significant.  Along with these developments, the lines between various types of hedge funds have blurred, with single-manager hedge funds borrowing from the successful practices of multi-manager platforms and fund-of-funds adapting their businesses to extract alpha with increasing levels of sophistication. 

 

While a select group of multi-manager platforms will likely thrive moving forward, we believe that there are also many other sources of alpha available in the hedge fund landscape that should not go ignored in the current environment.  We believe that the modern approach to hedge fund investing requires an unconstrained approach that enables investments across different hedge fund strategies and structures.  This approach allows an investor to be well positioned to maximize their ability to access skilled investment managers and give them the best odds at generating alpha.  The ability to invest across multi-manager platforms, boutique firms with a more centralized structure, and co-investment opportunities, along with the ability to implement these investments flexibly through fund investments, SMAs, or otherwise, will provide solid grounding for a successful hedge fund program in the years ahead.  

 

 

 

 

Related Insights

Start the Conversation

Committed to providing you with the insights you need to build your practice.

 

1 Source: GS Prime Services database

2 GS Prime Services.  As of June 30,2023.

3 Goldman Sachs Prime Services, “The Evolution of the Multi-Manager Landscape”, September 2023

4 Barclays, “Multi-Manager Hedge Funds Review”, As of January 2024.

5 Bloomberg, “Hedge Fund Startups on the Rise With Giant Firms Under Scrutiny,” March 4, 2024.

Barclays, “Multi-Manager Hedge Funds Review”, As of January 2024.

7 Barclays, “Multi-Manager Hedge Funds Review”, As of January 2024.

8 Barclays, “Multi-Manager Hedge Funds Review”, As of January 2024.  

 

Risk Disclosures

Hedge funds and other private investment funds (collectively, “Alternative Investments”) are subject to less regulation than other types of pooled investment vehicles such as mutual funds. Alternative Investments may impose significant fees, including incentive fees that are based upon a percentage of the realized and unrealized gains and an individual’s net returns may differ significantly from actual returns. Such fees may offset all or a significant portion of such Alternative Investment’s trading profits. Alternative Investments are not required to provide periodic pricing or valuation information. Investors may have limited rights with respect to their investments, including limited voting rights and participation in the management of such Alternative Investments.

Alternative Investments often engage in leverage and other investment practices that are extremely speculative and involve a high degree of risk. Such practices may increase the volatility of performance and the risk of investment loss, including the loss of the entire amount that is invested. There may be conflicts of interest relating to the Alternative Investment and its service providers, including Goldman Sachs and its affiliates. Similarly, interests in an Alternative Investment are highly illiquid and generally are not transferable without the consent of the sponsor, and applicable securities and tax laws will limit transfers.

Conflicts of Interest

There may be conflicts of interest relating to the Alternative Investment and its service providers, including Goldman Sachs and its affiliates. These activities and interests include potential multiple advisory, transactional and other interests in securities and instruments that may be purchased or sold by the Alternative Investment. These are considerations of which investors should be aware and additional information relating to these conflicts is set forth in the offering materials for the Alternative Investment

Equity investments are subject to market risk, which means that the value of the securities in which it invests may go up or down in response to the prospects of individual companies, particular sectors and/or general economic conditions. Different investment styles (e.g., “growth” and “value”) tend to shift in and out of favor, and, at times, the strategy may underperform other strategies that invest in similar asset classes. The market capitalization of a company may also involve greater risks (e.g. "small" or "mid" cap companies) than those associated with larger, more established companies and may be subject to more abrupt or erratic price movements, in addition to lower liquidity.

Investments in fixed income securities are subject to the risks associated with debt securities generally, including credit, liquidity, interest rate, prepayment and extension risk. Bond prices fluctuate inversely to changes in interest rates. Therefore, a general rise in interest rates can result in the decline in the bond’s price.  The value of securities with variable and floating interest rates are generally less sensitive to interest rate changes than securities with fixed interest rates. Variable and floating rate securities may decline in value if interest rates do not move as expected. Conversely, variable and floating rate securities will not generally rise in value if market interest rates decline. Credit risk is the risk that an issuer will default on payments of interest and principal. Credit risk is higher when investing in high yield bonds, also known as junk bonds. Prepayment risk is the risk that the issuer of a security may pay off principal more quickly than originally anticipated. Extension risk is the risk that the issuer of a security may pay off principal more slowly than originally anticipated. All fixed income investments may be worth less than their original cost upon redemption or maturity.

High-yield, lower-rated securities involve greater price volatility and present greater credit risks than higher-rated fixed income securities.

Inflation protected strategies invest primarily in inflation protected securities (IPS) of varying maturities issued by the U.S. Treasury and other U.S. and non-U.S. Government agencies and corporations. IPS are fixed income securities whose interest and principal payments are periodically adjusted to track changes in an official inflation measure. The market value of IPS is not guaranteed and will fluctuate in response to changes in real interest rates. The market for IPS may be less developed or liquid, and more volatile, than certain other securities markets. If deflation were to occur, IPS would likely decline in price.

Infrastructure investments are susceptible to various factors that may negatively impact their businesses or operations, including regulatory compliance, rising interest costs in connection with capital construction, governmental constraints that impact publicly funded projects, the effects of general economic conditions, increased competition, commodity costs, energy policies, unfavorable tax laws or accounting policies and high leverage.

General Disclosures

THIS MATERIAL DOES NOT CONSTITUTE AN OFFER OR SOLICITATION IN ANY JURISDICTION WHERE OR TO ANY PERSON TO WHOM IT WOULD BE UNAUTHORIZED OR UNLAWFUL TO DO SO.

Prospective investors should inform themselves as to any applicable legal requirements and taxation and exchange control regulations in the countries of their citizenship, residence or domicile which might be relevant.

This material is provided for informational purposes only and should not be construed as investment advice or an offer or solicitation to buy or sell securities. This material is not intended to be used as a general guide to investing, or as a source of any specific investment recommendations, and makes no implied or express recommendations concerning the manner in which any client’s account should or would be handled, as appropriate investment strategies depend upon the client’s investment objectives.

Past performance does not guarantee future results, which may vary. The value of investments and the income derived from investments will fluctuate and can go down as well as up. A loss of principal may occur.

This information discusses general market activity, industry or sector trends, or other broad-based economic, market or political conditions and should not be construed as research or investment advice. This material has been prepared by Goldman Sachs Asset Management and is not financial research nor a product of Goldman Sachs Global Investment Research (GIR). It was not prepared in compliance with applicable provisions of law designed to promote the independence of financial analysis and is not subject to a prohibition on trading following the distribution of financial research. The views and opinions expressed may differ from those of Goldman Sachs Global Investment Research or other departments or divisions of Goldman Sachs and its affiliates. Investors are urged to consult with their financial advisors before buying or selling any securities. This information may not be current and Goldman Sachs Asset Management has no obligation to provide any updates or changes.

Any reference to a specific company or security does not constitute a recommendation to buy, sell, hold or directly invest in the company or its securities. It should not be assumed that investment decisions made in the future will be profitable or will equal the performance of the securities discussed in this document.

Although certain information has been obtained from sources believed to be reliable, we do not guarantee its accuracy, completeness or fairness. We have relied upon and assumed without independent verification, the accuracy and completeness of all information available from public sources.

Views and opinions expressed are for informational purposes only and do not constitute a recommendation by Goldman Sachs Asset Management to buy, sell, or hold any security. Views and opinions are current as of the date of this presentation and may be subject to change, they should not be construed as investment advice.

There is no guarantee that objectives will be met.

Diversification does not protect an investor from market risk and does not ensure a profit.

United States: In the United States, this material is offered by and has been approved by Goldman Sachs Asset Management, L.P. and Goldman Sachs & Co. LLC, which are registered investment advisers with the Securities and Exchange Commission.  

United Kingdom: In the United Kingdom, this material is a financial promotion and has been approved by Goldman Sachs Asset Management International, which is authorized and regulated in the United Kingdom by the Financial Conduct Authority.

Denmark and Sweden:  This financial promotion is provided by Goldman Sachs Bank Europe SE. This material is a financial promotion disseminated by Goldman Sachs Bank Europe SE, including through its authorised branches ("GSBE"). GSBE is a credit institution incorporated in Germany and, within the Single Supervisory Mechanism established between those Member States of the European Union whose official currency is the Euro, subject to direct prudential supervision by the European Central Bank and in other respects supervised by German Federal Financial Supervisory Authority (Bundesanstalt für Finanzdienstleistungsaufischt, BaFin) and Deutsche Bundesbank.

This financial promotion is provided by Goldman Sachs Asset Management B.V.

European Economic Area (EEA): This marketing communication is disseminated by Goldman Sachs Asset Management B.V., including through its branches (“GSAM BV”). GSAM BV is authorised and regulated by the Dutch Authority for the Financial Markets (Autoriteit Financiële Markten, Vijzelgracht 50, 1017 HS Amsterdam, The Netherlands) as an alternative investment fund manager (“AIFM”) as well as a manager of undertakings for collective investment in transferable securities (“UCITS”). Under its licence as an AIFM, the Manager is authorized to provide the investment services of (i) reception and transmission of orders in financial instruments; (ii) portfolio management; and (iii) investment advice. Under its licence as a manager of UCITS, the Manager is authorized to provide the investment services of (i) portfolio management; and (ii) investment advice. Information about investor rights and collective redress mechanisms are available on www.gsam.com/responsible-investing (section Policies & Governance). Capital is at risk. Any claims arising out of or in connection with the terms and conditions of this disclaimer are governed by Dutch law.

Switzerland: For Qualified Investor use only – Not for distribution to general public. This is marketing material. This document is provided to you by Goldman Sachs Asset Management Schweiz Gmbh. Any future contractual relationships will be entered into with affiliates of Goldman Sachs Asset Management Schweiz Gmbh, which are domiciled outside of Switzerland. We would like to remind you that foreign (Non-Swiss) legal and regulatory systems may not provide the same level of protection in relation to client confidentiality and data protection as offered to you by Swiss law.

Asia excluding Japan: Please note that neither Goldman Sachs Asset Management (Hong Kong) Limited (“GSAMHK”) or Goldman Sachs Asset Management (Singapore) Pte. Ltd. (Company Number: 201329851H ) (“GSAMS”) nor any other entities involved in the Goldman Sachs Asset Management business that provide this material and information maintain any licenses, authorizations or registrations in Asia (other than Japan), except that it conducts businesses (subject to applicable local regulations) in and from the following jurisdictions: Hong Kong, Singapore, India and China. This material has been issued for use in or from Hong Kong by Goldman Sachs Asset Management (Hong Kong) Limited and in or from Singapore by Goldman Sachs Asset Management (Singapore) Pte. Ltd. (Company Number: 201329851H).

This material is distributed in Australia and New Zealand by Goldman Sachs Asset Management Australia Pty Ltd ABN 41 006 099 681, AFSL 228948 (’GSAMA’) and is intended for viewing only by wholesale clients in Australia for the purposes of section 761G of the Corporations Act 2001 (Cth) and to clients who either fall within any or all of the categories of investors set out in section 3(2) or sub-section 5(2CC) of the Securities Act 1978, fall within the definition of a wholesale client for the purposes of the Financial Service Providers (Registration and Dispute Resolution) Act 2008 (FSPA) and the Financial Advisers Act 2008 (FAA),and fall within the definition of a wholesale investor under one of clause 37, clause 38, clause 39 or clause 40 of Schedule 1 of the Financial Markets Conduct Act 2013 (FMCA) of New Zealand (collectively, a “NZ Wholesale Investor”). GSAMA is not a registered financial service provider under the FSPA. GSAMA does not have a place of business in New Zealand. In New Zealand, this document, and any access to it, is intended only for a person who has first satisfied GSAMA that the person is a NZ Wholesale Investor. This document is intended for viewing only by the intended recipient. This document may not be reproduced or distributed to any person in whole or in part without the prior written consent of GSAMA.

To the extent that this document contains any statement which may be considered to be financial product advice in Australia under the Corporations Act 2001 (Cth), that advice is intended to be given to the intended recipient of this document only, being a wholesale client for the purposes of the Corporations Act 2001 (Cth).

Any advice provided in this document is provided by either of the following entities. They are exempt from the requirement to hold an Australian financial services licence under the Corporations Act of Australia and therefore do not hold any Australian Financial Services Licences, and are regulated under their respective laws applicable to their jurisdictions, which differ from Australian laws. Any financial services given to any person by these entities by distributing this document in Australia are provided to such persons pursuant to the respective ASIC Class Orders and ASIC Instrument mentioned below.

  • Goldman Sachs Asset Management, LP (GSAMLP), Goldman Sachs & Co. LLC (GSCo), pursuant ASIC Class Order 03/1100; regulated by the US Securities and Exchange Commission under US laws.
  • Goldman Sachs Asset Management International (GSAMI), Goldman Sachs International (GSI), pursuant to ASIC Class Order 03/1099; regulated by the Financial Conduct Authority; GSI is also authorized by the Prudential Regulation Authority, and both entities are under UK laws.
  • Goldman Sachs Asset Management (Singapore) Pte. Ltd. (GSAMS), pursuant to ASIC Class Order 03/1102; regulated by the Monetary Authority of Singapore under Singaporean laws.
  • Goldman Sachs Asset Management (Hong Kong) Limited (GSAMHK), pursuant to ASIC Class Order 03/1103 and Goldman Sachs (Asia) LLC (GSALLC), pursuant to ASIC Instrument 04/0250; regulated by the Securities and Futures Commission of Hong Kong under Hong Kong laws.

 

No offer to acquire any interest in a fund or a financial product is being made to you in this document. If the interests or financial products do become available in the future, the offer may be arranged by GSAMA in accordance with section 911A(2)(b) of the Corporations Act. GSAMA holds Australian Financial Services Licence No. 228948. Any offer will only be made in circumstances where disclosure is not required under Part 6D.2 of the Corporations Act or a product disclosure statement is not required to be given under Part 7.9 of the Corporations Act (as relevant).

FOR DISTRIBUTION ONLY TO FINANCIAL INSTITUTIONS, FINANCIAL SERVICES LICENSEES AND THEIR ADVISERS. NOT FOR VIEWING BY RETAIL CLIENTS OR MEMBERS OF THE GENERAL PUBLIC.

Canada: This presentation has been communicated in Canada by GSAM LP, which is registered as a portfolio manager under securities legislation in all provinces of Canada and as a commodity trading manager under the commodity futures legislation of Ontario and as a derivatives adviser under the derivatives legislation of Quebec. GSAM LP is not registered to provide investment advisory or portfolio management services in respect of exchange-traded futures or options contracts in Manitoba and is not offering to provide such investment advisory or portfolio management services in Manitoba by delivery of this material.

Japan: This material has been issued or approved in Japan for the use of professional investors defined in Article 2 paragraph (31) of the Financial Instruments and Exchange Law (“FIEL”). Also, Any description regarding investment strategies on collective investment scheme under Article 2 paragraph (2) item 5 or item 6 of FIEL has been approved only for Qualified Institutional Investors defined in Article 10 of Cabinet Office Ordinance of Definitions under Article 2 of FIEL.

United Arab Emirates: This document has not been approved by, or filed with the Central Bank of the United Arab Emirates or the Securities and Commodities Authority. If you do not understand the contents of this document, you should consult with a financial advisor.

Saudi Arabia: The Capital Market Authority does not make any representation as to the accuracy or completeness of this document, and expressly disclaims any liability whatsoever for any loss arising from, or incurred in reliance upon, any part of this document. If you do not understand the contents of this document you should consult an authorised financial adviser.

These materials are presented to you by Goldman Sachs Saudi Arabia Company ("GSSA"). GSSA is authorised and regulated by the Capital Market Authority (“CMA”) in the Kingdom of Saudi Arabia. GSSA is subject to relevant CMA rules and guidance, details of which can be found on the CMA’s website at www.cma.org.sa.

The CMA does not make any representation as to the accuracy or completeness of these materials, and expressly disclaims any liability whatsoever for any loss arising from, or incurred in reliance upon, any part of these materials. If you do not understand the contents of these materials, you should consult an authorised financial adviser.

Kuwait: This material has not been approved for distribution in the State of Kuwait by the Ministry of Commerce and Industry or the Central Bank of Kuwait or any other relevant Kuwaiti government agency. The distribution of this material is, therefore, restricted in accordance with law no. 31 of 1990 and law no. 7 of 2010, as amended. No private or public offering of securities is being made in the State of Kuwait, and no agreement relating to the sale of any securities will be concluded in the State of Kuwait. No marketing, solicitation or inducement activities are being used to offer or market securities in the State of Kuwait.

Qatar: This document has not been, and will not be, registered with or reviewed or approved by the Qatar Financial Markets Authority, the Qatar Financial Centre Regulatory Authority or Qatar Central Bank and may not be publicly distributed. It is not for general circulation in the State of Qatar and may not be reproduced or used for any other purpose.

Bahrain: This material has not been reviewed by the Central Bank of Bahrain (CBB) and the CBB takes no responsibility for the accuracy of the statements or the information contained herein, or for the performance of the securities or related investment, nor shall the CBB have any liability to any person for damage or loss resulting from reliance on any statement or information contained herein. This material will not be issued, passed to, or made available to the public generally.

Oman: The Capital Market Authority of the Sultanate of Oman (the "CMA") is not liable for the correctness or adequacy of information provided in this document or for identifying whether or not the services contemplated within this document are appropriate investment for a potential investor. The CMA shall also not be liable for any damage or loss resulting from reliance placed on the document.

South Africa: Goldman Sachs Asset Management International is authorised by the Financial Services Board of South Africa as a financial services provider.

Israel: This document has not been, and will not be, registered with or reviewed or approved by the Israel Securities Authority (ISA”). It is not for general circulation in Israel and may not be reproduced or used for any other purpose. Goldman Sachs Asset Management International is not licensed to provide investment advisory or management services in Israel.

Jordan: The document has not been presented to, or approved by, the Jordanian Securities Commission or the Board for Regulating Transactions in Foreign Exchanges.

361764-OTU-1997707

Date of First Use: April 10, 2024

Please enter your email address to continue reading.

Confirm Your Access


An email has been sent to you to verify ownership of your email address.

Please verify the link in the email by clicking the confirmation button. Once completed, you will gain instant access to our insights.

If you did not receive the email from us please check your spam folder or try again.